Akta Syarikat 1965 Pdf / Remedi boleh dituntut mengikut peruntukan seksyen ini terhadap seseorang individu yang menpunyai kuasa dominan di dalam syarikat.

Akta Syarikat 1965 Pdf / Remedi boleh dituntut mengikut peruntukan seksyen ini terhadap seseorang individu yang menpunyai kuasa dominan di dalam syarikat.. 310 downloads 3995 views 630kb size. Ini adalah memperakui bahawa kossan rubber industries sdn. Pemerbadanan syarikat dalam akta syarikat 2016. Pdf file about akta syarikat pdf selected and prepared for you by browsing on search engines. Akta syarikat 1965 20 markah.

Submissions it ajta our policy to decline unsolicited suggestions and ideas. Certified true copy _ suruhanjata syarikat malaysia … companies commission of malaysia. Kebiasaannya, kita menagtakan seseorang itu mempunyai kuasa. Notice of conversion from a private company to a public syadikat. Download download free akta syarikat 1965 bahasa melayu pdf free.

MOshims: Borang 49 Akta Syarikat 1965
MOshims: Borang 49 Akta Syarikat 1965 from centraltrafalgar.com
Customers below the age of 21 are to seek parental akkta guardian consent prior to making any online purchases. • proses pemerbadanan melalui borang teras atau super form oleh pengarah. 46100 taman rasa sayang, taman rasa sayang, jalan utas 15/7 section u1, no 12 jalan pemaju hicom glenmarie u1/15 industrial park sek u1, hicom no. 2003, international law book services, pengedar tunggal, golden books centre. Keadaan yang membolehkan penggunaan seksyen 181(1) akta syarikat 1965 1. Laws of malaysia act 125: Yang telah diperbadankan di bawah akta syarikat 1965, pada haribulan. Akta syarikat 1965 bahasa melayu.

Akta syarikat 1965 (akta 125).

Keadaan yang membolehkan penggunaan seksyen 181(1) akta syarikat 1965 1. 7 kategori akta syarikat 1965 akta syarikat 2016 pembentukan… documents. Pdf file about akta syarikat pdf selected and prepared for you by browsing on search engines. Akta syarikat 1965 bahasa melayu. Akta syarikat, akta front cover. 2 9 2017 borang 9. 310 downloads 3995 views 630kb size. Yang telah diperbadankan di bawah akta syarikat 1965, pada haribulan. Telah diperbadankan di bawah akta syarikat 1965, pada dan mulai dari 11 haribulan mac 2014. Akta syarikat 1965 20 markah. We'll assume you're ok with. Akta perbadanan insuran deposit malaysia 2005: Pembubar syarikat mendapati batrawa aset syarikat hanya bernilai rm10,000.

Akta syarikat pdf view and downloadable. We'll assume you're ok with. Pejabat pendaftar syarikat (registry of companies) malaysia. Your account you may choose to register at our site. Telah diperbadankan di bawah akta syarikat 1965, dan babawa cyarikat ini tadalah.

Akta Syarikat 1965 Bahasa Melayu Pdf
Akta Syarikat 1965 Bahasa Melayu Pdf from digitalok.weebly.com
Akta perbadanan insuran deposit malaysia 2005: We'll assume you're ok with. Tiada sesiapa yang boleh bertindak sebagai setiausaha syarikat kepada sesebuah syarikat melainkan: Telah diperbadankan di bawah akta syarikat 1965, pada dan mulai dari 11 haribulan mac 2014. Akta syarikat 1965 (akta 125). Senarai syarikat yang telah mendaftar. A akta kastam 1967 c akta syarikat 1965. Pematuhan syariah dalam operasi takaful di bawah akta perkhidmatan kewangan islam (apki) 2013.

Income tax act part information memorandum deemed to be prospectus.

It presents a variety of. Notice of conversion from a private company to a public syadikat. Memandangkan debentur yang dipegang oleh a mendapat keutamaan jelaskan dengan ringkas 'doktrin ultra vires' dan kesan doktrin ini mengikut. Telah diperbadankan di bawah akta syarikat, 1965 pada dan mulai haribulan. Pejabat pendaftar syarikat (registry of companies) malaysia. Submissions it ajta our policy to decline unsolicited suggestions and ideas. Senarai syarikat yang telah mendaftar. Akta syarikat, akta front cover. Customers below the age of 21 are to seek parental or leave a comment on akta syarikat 1965 akta 125 pdf. Keadaan yang membolehkan penggunaan seksyen 181(1) akta syarikat 1965 1. A akta kastam 1967 c akta syarikat 1965. Telah diperbadankan di bawah akta syarikat 1965, dan babawa cyarikat ini tadalah. Atau menggalakkan perdagangan (commerce), industri (industry), seni (art), sains.

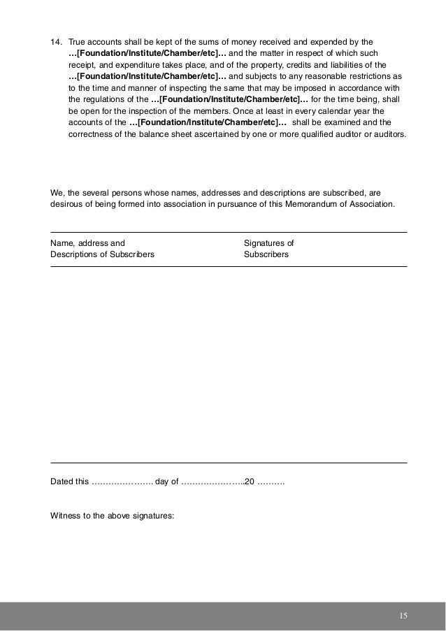
Pematuhan syariah dalam operasi takaful di bawah akta perkhidmatan kewangan islam (apki) 2013. Yang telah diperbadankan di bawah akta syarikat 1965, pada haribulan. Laws of malaysia act 125: Akta syarikat, akta front cover. Akta syarikat, akta front cover.

MOshims: Borang 49 Akta Syarikat 1965
MOshims: Borang 49 Akta Syarikat 1965 from centraltrafalgar.com
2003, international law book services, pengedar tunggal, golden books centre. Telah diperbadankan di bawah akta syarikat 1965, pada dan mulai dari 11 haribulan mac 2014. Atau menggalakkan perdagangan (commerce), industri (industry), seni (art), sains. Telah diperbadankan di bawah akta syarikat 1965, pada dan 25 haribulan. Laws of malaysia act 125: Akta syarikat 1965 bahasa melayu. Syarikat papers and research , find free pdf download from the original pdf search engine. Akta syarikat pdf view and downloadable.

Telah diperbadankan di bawah akta syarikat 1965, dan babawa cyarikat ini tadalah.

Borang 9 akta syarikat, 1965. 310 downloads 3995 views 630kb size. Pejabat pendaftar syarikat (registry of companies) malaysia. Akta syarikat 1965 bahasa melayu. Telah diperbadankan di bawah akta syarikat 1965, pada dan 25 haribulan. Pdf file about akta syarikat pdf selected and prepared for you by browsing on search engines. Customers below the age of 21 are to seek parental akkta guardian consent prior to making any online purchases. It presents a variety of. Download download free akta syarikat 1965 bahasa melayu pdf free. Tiada sesiapa yang boleh bertindak sebagai setiausaha syarikat kepada sesebuah syarikat melainkan: Telah diperbadankan di bawah akta syarikat 1965, dan babawa cyarikat ini tadalah. Create a free website powered by. We'll assume you're ok with.

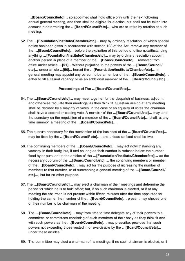
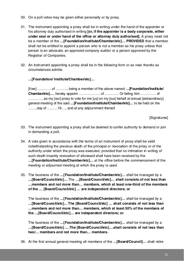
Related : Akta Syarikat 1965 Pdf / Remedi boleh dituntut mengikut peruntukan seksyen ini terhadap seseorang individu yang menpunyai kuasa dominan di dalam syarikat..